Hg 2139 Din 2004





Hg 2139 Din 2004 Catalog Durate Mijloace Fixe

Hg 2139 Din 2004 Catalog Durate Mijloace Fixe

Pdf Hg 2139 2004 Durata Functionare Mijloace Fixe Ocgbx Marius Adrian Academia Edu

Pdf Hg 2139 2004 Durata Functionare Mijloace Fixe Ocgbx Marius Adrian Academia Edu

Hg 2139 2004 Durate De Serviciu

Hg 2139 2004 Durate De Serviciu

Hg 2139 2004 Catalogul Privind Clasificarea Si Duratele Normale De Functionare A Mijloacelor Fixe Cfnet Codfiscal Net Finante Taxe

Hg 2139 2004 Catalogul Privind Clasificarea Si Duratele Normale De Functionare A Mijloacelor Fixe Cfnet Codfiscal Net Finante Taxe

Hg 2139 2004 Durate De Serviciu

Hg 2139 2004 Durate De Serviciu

Hg 2139 2004 Catalog Mijloace Fixe Start Up Nation 2018 By Bughycj Issuu

Hg 2139 2004 Catalog Mijloace Fixe Start Up Nation 2018 By Bughycj Issuu

Hg 2139 2004 Catalog Mijloace Fixe Start Up Nation 2018 By Bughycj Issuu

Hg 2139 Din 2004 Catalog Privind Clasific Si Dnf Mijloace Fixe

Hg 2139 Din 2004 Catalog Privind Clasific Si Dnf Mijloace Fixe

Catalog Mijloace Fixe

Catalog Mijloace Fixe

Hg 2139 2004 Durata Functionare Mijloace Fixe Pdf Pdf Document

Hg 2139 2004 Durata Functionare Mijloace Fixe Pdf Pdf Document

Hg 2139 Din 2004 Catalog Durate Mijloace Fixe

Hg 2139 Din 2004 Catalog Durate Mijloace Fixe

Aluminium Monostearate Zinc Stearate 2139

Aluminium Monostearate Zinc Stearate 2139

2

2

Http Www Sector5 Ro Media 47923 Punctul 15 Al Ordinii De Zi 26062018 Pdf

Http Www Sector5 Ro Media 47923 Punctul 15 Al Ordinii De Zi 26062018 Pdf

2

2

Mp5 Handheld Console Psp Game Console Psvita Layar 4 3 Inci 8gb Shopee Indonesia

Mp5 Handheld Console Psp Game Console Psvita Layar 4 3 Inci 8gb Shopee Indonesia

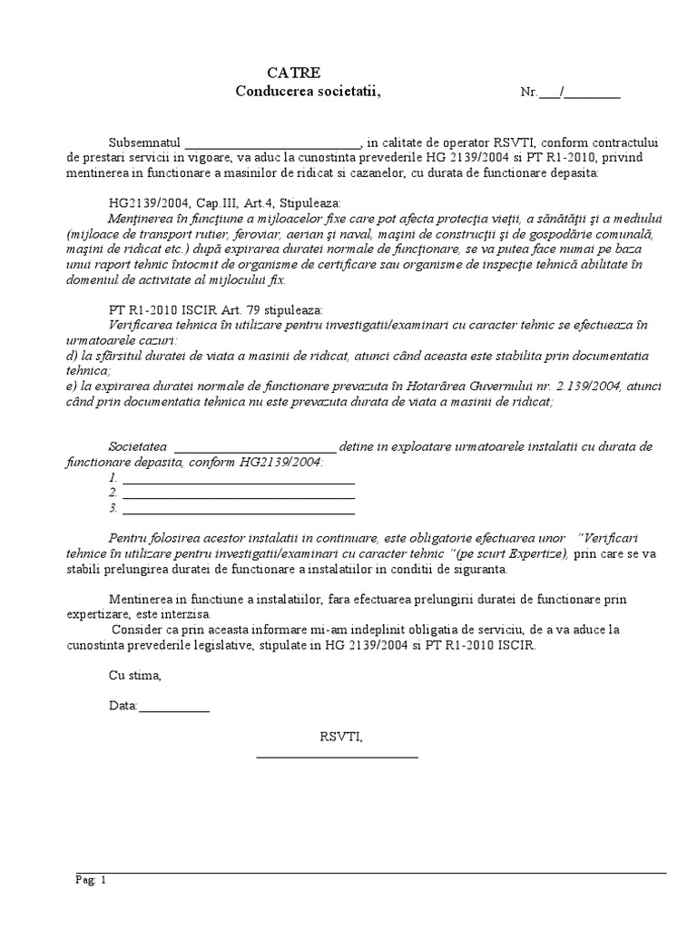
Adresa Informare Expertizare Hg2139 R1 2010 Model Pdf

Adresa Informare Expertizare Hg2139 R1 2010 Model Pdf

250 000 Rol Non Reimbursable Funds For Smes Active In Services And Trade Arete Consulting

250 000 Rol Non Reimbursable Funds For Smes Active In Services And Trade Arete Consulting

Aluminium Monostearate Zinc Stearate 2139

Aluminium Monostearate Zinc Stearate 2139

Jual Stoper Depan Canter Fe71 Jakarta Barat Megaso Tokopedia

Jual Stoper Depan Canter Fe71 Jakarta Barat Megaso Tokopedia

Psd Bod Photos Facebook

Psd Bod Photos Facebook

Source : pinterest.com